Comparison of six anti-human CD25 clones specificity

CD25 is a ligand-binding α subunit of interleukin 2 receptor (IL2R). Together with β and γ subunit CD25 constitues the high affinity IL2R, whereas CD25 alone serves as the low affinity IL2R. CD25 expression rapidly increases upon T cell activation. The 55 kDa CD25 molecule is enzymatically cleaved and shed from the cell surface as a soluble 45 kDa s-Tac, whose concentration in serum can be used as a marker of T cell activation. Expression of CD25 indicates the neoplastic phenotype of mast cells. Humanized anti CD25 antibodies represent a useful tool to reduce the incidence of allograft rejection as well as the severity of graft versus host reaction, and radioimmunoconjugates of anti-CD25 antibodies can be used against CD25-expressing lymphomas.
 
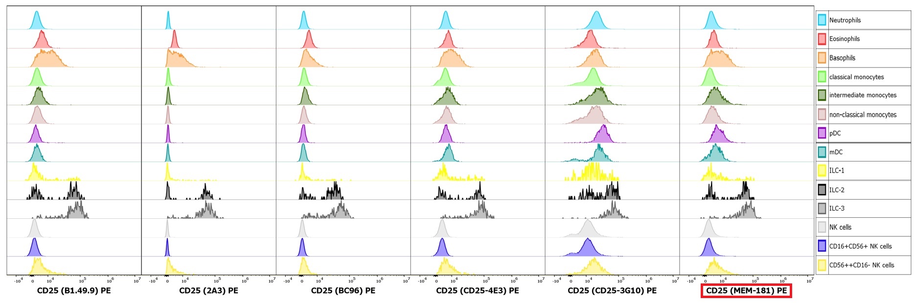
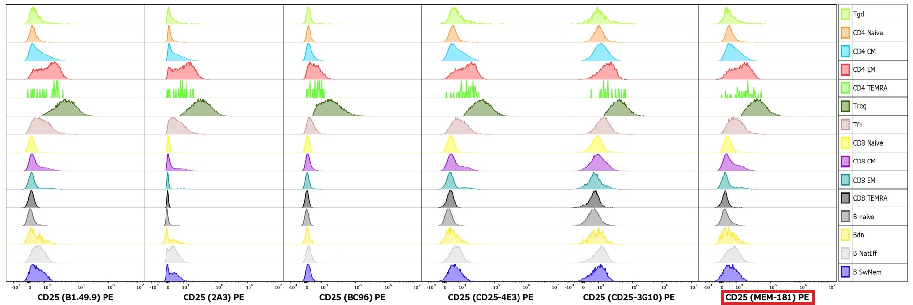
We used the anti-Hu CD25 clone MEM-181 PE conjugate (1P-218-T100) in 1.5 µg/ml concentration, and PE conjugates of the other five tested clones (B1.49.9, 2A3, BC96, CD25-4E3, CD25-3G10) in the concentration recommended by their manufacturers, to evaluate their reactivity with particular cell populations of the innate (fig. 1) and adaptive (fig. 2) immunity panel. The reactivity of all six antibodies with respective populations was comparable and their specificity was confirmed. We report here also comparison of these clones on gated CD3+ TCR γ/δ- lymphocytes plotted against CD4 (fig. 3) and on gated CD3+CD4+ TCR γ/δ- lymphocytes plotted against CD127 (fig. 4). To evaluate potential epitope competition between MEM-181 and the other five clones, we stained the samples with particular anti-CD25 in PE format and then with adaptive immunity panel, which contains MEM-181 in APC. It is evident that B1.49.9, 2A3, BC96, and CD25-3G10 compete for MEM-181 epitope, but CD25-4E3 does not (fig. 5). Experiment, including gating strategies, was performed according to Kužílková et al., Front. Immunol. 2022, where also the innate and adaptive immunity panels are described.
  

 
 
 
Fig. 1: Reactivity pattern of six anti-CD25 clones in PE format with corresponding populations of innate immunity panel cells (neutrophils, eosinophils, basophils, classical monocytes, intermediate monocytes, non-classical monocytes, pDC, mDC, ILC-1, ILC-2, ILC-3, NK cells, CD16+CD56+ NK cells, CD56++CD16- NK cells).
 
 
 
 
  
 Fig. 2: Reactivity pattern of six anti-CD25 clones in PE format with corresponding populations of adaptive immunity panel cells (Tgd, CD4 naive, CD4 CM, CD4 EM, CD4 TEMRA, Treg, Tfh, CD8 naive, CD8 CM, CD8 EM, CD8 TEMRA, B naive, Bdn, B NatEff, B SwMem).
 


 
 
Fig. 3: Multicolor staining patterns of gated CD3+ TCR γ/δ- lymphocytes using six clones of anti-CD25 PE is shown in dot-plot graphs against anti-CD4 (MEM-241) PerCP-Cy™5.5.
 
 

 
 

Fig. 4: Multicolor staining patterns of gated CD3+CD4+ TCR γ/δ- lymphocytes using six clones of anti-CD25 PE is shown in dot-plot graphs against CD127 PE/Dazzle™ 594.

 
 
 
 

Fig. 5: Multicolor staining patterns of gated CD3+CD4+ TCR γ/δ- lymphocytes after staining with particular anti-CD25 clones in PE and subsequent staining with MEM-181 in APC. It is evident, that only CD25-4E3 does not compete for MEM-181 epitope, whereas the other clones do.
 

Available formats of MEM-181 antibody:

purified (11-218-C100)
biotin (1B-218-C100)
Pacific Blue™ (PB-218-T100, ED7114)
FITC (1F-218-T100, ED7115)
PE (1P-218-T100, ED7116)
PE-DyLight® 594 (T5-218-T100)
APC (1A-218-T100, ED7117)
PE-Cy™5 (ED7536)
PerCP (PC-218-T100)
PerCP-Cy™5.5 (T9-218-T100)
Alexa Fluor® 700 (A7-218-T100)
PE-Cy™7 (T7-218-T100, ED7744)
APC-Cy™7 (T4-218-T100)
 
 
 
 

Would you like to have our antibodies in other formats? Let us know!

Contact: info@exbio.cz